Medios Guiados UTP, Coaxial, FO
Requisitos de finalización
6. Medios NO Guiados.
6.2. Microonda terrestre
-
Se utilizan antenas parabólicas.
-
Tiene que haber visión directa entre antenas.
-
A mayor altura de la antena mayor alcance.
-
Perdidas por atenuación e interferencias
-
Muy sensible a las malas condiciones atmosféricas.
-
Permite transportar cientos de Mbps
Se la utiliza para:
-
Comunicación de larga distancia
-
Comunicación entre edificios
-
Para voz y TV
Antena Parabólica.
La Ganancia de antena parabólica es una medida de la direccionalidad de una antena.
La ganancia de antena se define como la potencia de salida, en una dirección particular, en comparación
a la producida en cualquier dirección por una antena omnidireccional perfecta (isotrópica antena).
La ganancia de antena se define como la potencia de salida, en una dirección particular, en comparación
a la producida en cualquier dirección por una antena omnidireccional perfecta (isotrópica antena).
Def: Isotrópico significa igual en todas las direcciones del espacio.

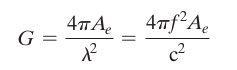
La relación entre la Ganancia de la Antena y el Área efectiva es:

Donde:

Estas cuestiones corresponden a Comunicaciones 1 y no profundizaremos.